surveil: Public health surveillance

The surveil R package provides time series models for routine public health surveillance tasks: model time trends in mortality or disease incidence rates to make inferences about levels of risk, cumulative and period percent change, age-standardized rates, and health inequalities.

surveil is an interface to Stan, a state-of-the-art platform for Bayesian inference. For analysis of spatial health data see the geostan R package.

Installation

surveil is available on CRAN; install from R using:

install.packages("surveil")

Vignettes

Review the package vignettes to get started:

Also see the online documentation.

Usage

Model time series data of mortality or disease incidence by loading the surveil package into R together with disease surveillance data. Tables exported from CDC WONDER are automatically in the correct format.

library(surveil)
library(knitr)
data(cancer)

kable(head(cancer), 
      booktabs = TRUE,
      caption = "Table 1. A glimpse of cancer surveillance data")
Year Age Count Population
1999 <1 866 3708753
1999 1-4 2959 14991152
1999 5-9 2226 20146188
1999 10-14 2447 19742631
1999 15-19 3875 19585857
1999 20-24 5969 18148795

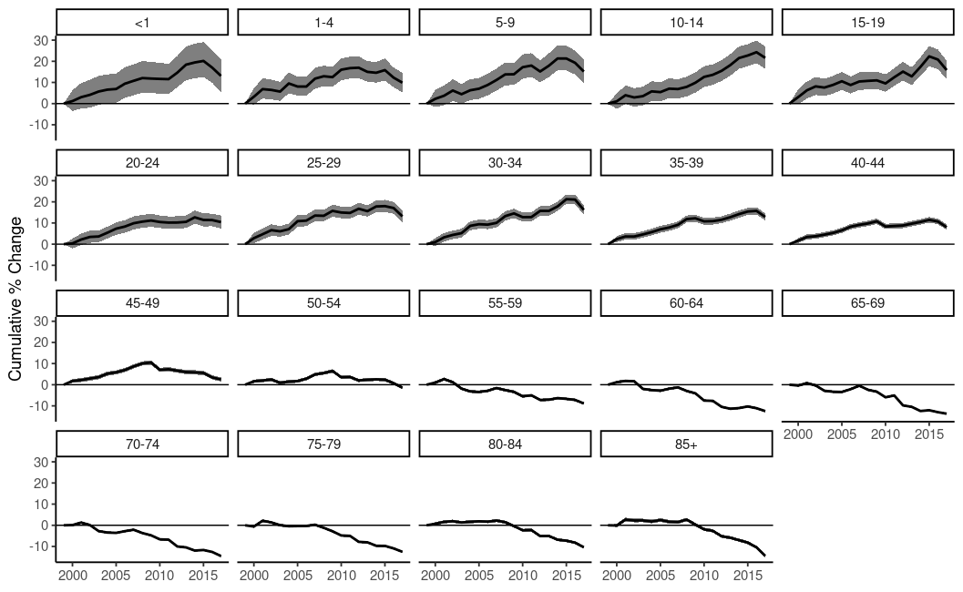
Model trends in risk and easily view functions of risk estimates, such as cumulative percent change:

fit <- stan_rw(data = cancer,
               time = Year, 
               group = Age,
           cores = 4 # multi-core processing for speed
           )

fit_apc <- apc(fit)
plot(fit_apc, cumulative = TRUE)

Cumulative percent change in US cancer incidence by age group