move2

Pipeline status Coverage CRAN status Lifecycle: stable CRAN logs

The goal of the move2 package is to facilitate handling movement data by creating the move2 class that extents the functionality of the sf package. It facilitates import of animal movement data from movebank. The move2 package is designed as a successor to the move package, but improves in speed and functionality by being redesigned from the ground up. More documentation can be found on the website.

Installation

The most recent released version of move2 can be installed directly from CRAN:

install.packages("move2")

You can also install the development version of move2 like so:

devtools::install_git('https://gitlab.com/bartk/move2.git')

Example

By using units it is possible to track changes through analysis, note that ggplot directly has the correct units on the y axis

require(units)
require(dplyr)
require(ggplot2)
require(move2)
require(rnaturalearth)
track <- movebank_download_study("Galapagos Albatrosses",
  sensor_type_id = "gps"
)
track
#> A <move2> with `track_id_column` "individual_local_identifier" and
#> `time_column` "timestamp"
#> Containing 28 tracks lasting on average 37.1 days in a
#> Simple feature collection with 16414 features and 18 fields (with 386 geometries empty)
#> Geometry type: POINT
#> Dimension:     XY
#> Bounding box:  xmin: -91.3732 ymin: -12.79464 xmax: -77.51874 ymax: 0.1821983
#> Geodetic CRS:  WGS 84
#> # A tibble: 16,414 × 19
#>   sensor_type_id individual_local_identifier eobs_battery_voltage
#>          <int64> <fct>                                       [mV]
#> 1            653 4264-84830852                               3686
#> 2            653 4264-84830852                               3701
#> 3            653 4264-84830852                               3701
#> 4            653 4264-84830852                               3691
#> # ℹ 16,410 more rows
#> # ℹ 16 more variables: eobs_fix_battery_voltage [mV],
#> #   eobs_horizontal_accuracy_estimate [m], eobs_key_bin_checksum <int64>,
#> #   eobs_speed_accuracy_estimate [m/s], eobs_start_timestamp <dttm>,
#> #   eobs_status <ord>, eobs_temperature [°C], eobs_type_of_fix <fct>,
#> #   eobs_used_time_to_get_fix [s], ground_speed [m/s], heading [°],
#> #   height_above_ellipsoid [m], timestamp <dttm>, visible <lgl>, …
#> First 4 track features:
#> # A tibble: 28 × 52
#>   deployment_id  tag_id individual_id animal_life_stage attachment_type
#>         <int64> <int64>       <int64> <fct>             <fct>          
#> 1       2911170 2911124       2911090 adult             tape           
#> 2       2911150 2911126       2911091 adult             tape           
#> 3       2911167 2911127       2911092 adult             tape           
#> 4       2911168 2911129       2911093 adult             tape           
#> # ℹ 24 more rows
#> # ℹ 47 more variables: deployment_comments <chr>, deploy_on_timestamp <dttm>,
#> #   duty_cycle <chr>, deployment_local_identifier <fct>,
#> #   manipulation_type <fct>, study_site <chr>, tag_readout_method <fct>,
#> #   sensor_type_ids <chr>, capture_location <POINT [°]>,
#> #   deploy_on_location <POINT [°]>, deploy_off_location <POINT [°]>,
#> #   individual_comments <chr>, individual_local_identifier <fct>, …
ggplot() +
  geom_sf(data = ne_coastline(returnclass = "sf", 10)) +
  theme_linedraw() +
  geom_sf(data = track) +
  geom_sf(data = mt_track_lines(track), aes(color = `individual_local_identifier`)) +
  coord_sf(
    crs = sf::st_crs("+proj=aeqd +lon_0=-83 +lat_0=-6 +units=km"),
    xlim = c(-1000, 600),
    ylim = c(-800, 700)
  )
#> In total 386 empty location records are removed before summarizing.

An example plot of tracking data from Galapagos Albatrosses including coastlines

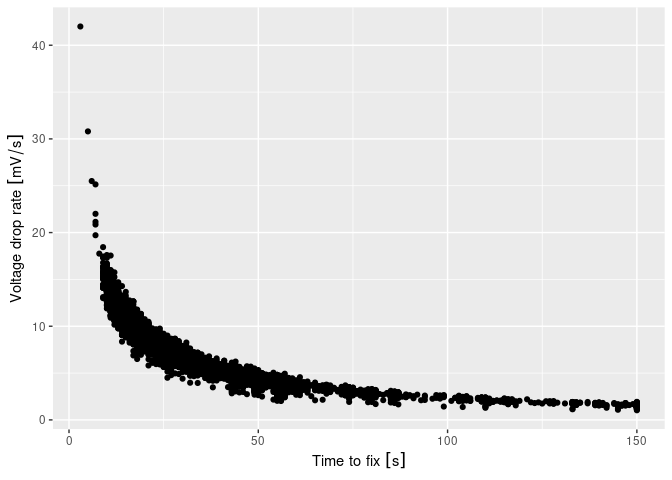
track %>%
  ggplot() +
  geom_point(aes(
    x = `eobs_used_time_to_get_fix`,
    y = (`eobs_battery_voltage` - `eobs_fix_battery_voltage`) / `eobs_used_time_to_get_fix`
  )) +
  xlab("Time to fix") +
  ylab("Voltage drop rate")
#> Warning: The `scale_name` argument of `continuous_scale()` is deprecated as of ggplot2
#> 3.5.0.
#> This warning is displayed once every 8 hours.
#> Call `lifecycle::last_lifecycle_warnings()` to see where this warning was
#> generated.

Plot showing how the units of attributes get propagated to plots including the transformation of units.

Other packages

Several other packages exist for dealing with movement data. For an overview see the CRAN task view. Here we make a quick comparison to some other packages that define movement datasets and the differences to move2:

Compared to the other packages move2 tries to be flexible enough that it is easy to use in other software but still retains the formal properties and all meta data of trajectories. Therefore we avoid more complicated data structures (e.g. Kranstauber et al, 2011).

Future

Currently the move2 package focuses on core functionality, ideas for additional packages exist:

Additional functionality in move2

There are ideas for additional functionality they are not directly implemented but recorded here to keep them on the radar. Specific suggestions or information what is used are welcome.

Development

By installing the package todor it is possible to find all to-dos as markers through the rstudio addins menu, or run todor::todor_package_addin(). Furthermore we use precommit to validate code before committing. Testing is done through testthat.

Dependencies

depgraph::plot_dependency_graph(".", suggests = FALSE)

Visualization of the dependencies of the `move2` package